28.05.2024
N°1 2024

Digitale Teilhabe von Menschen mit Behinderungen in der beruflichen (Weiter-)Bildung

Im Beitrag werden Ergebnisse einer nationalen Erhebung bei Berufs- und Weiterbildungsorganisationen im Rahmen des NFP77-Forschungsprojekts «Digitale Teilhabe von Menschen mit Behinderungen in der beruflichen Bildung» vorgestellt. Zunächst wird ein Überblick über die aktuelle Situation der digitalen Teilhabe in den Berufs- und Weiterbildungsorganisationen der Schweiz gegeben. Von besonderem Interesse ist die Frage, in welchen Bereichen der beruflichen (Weiter-)Bildung besondere Chancen und Herausforderungen der digitalen Teilhabe von Menschen mit Behinderungen bestehen. Im Weiteren wird die Frage erörtert, welche Faktoren die digitale Teilhabe von Menschen mit Behinderungen in der Berufs- und Weiterbildung in der Schweiz beeinflussen.

1. Einleitung

Die Organisationen der Berufs- und Weiterbildung, ihre Infrastrukturen, die Gestaltung des Unterrichts und die Betreuung der Lernenden werden durch den Einsatz digitaler Technologien1 tiefgreifend verändert. Studien zeigen, dass digitale Technologien den Zugang zum lebenslangen Lernen und zur Qualifizierung und damit letztlich zur Arbeitswelt vereinfachen (Bundesministerium für Arbeit und Soziales, 2016; Hümbelin et al., 2019). Diese Potenziale bestehen grundsätzlich auch für Lernende mit Behinderungen. Dabei kann jedoch nicht davon ausgegangen werden, dass das blosse Vorhandensein digitaler Technologien in Berufs- und Weiterbildungsorganisationen ausreicht, um die digitale Teilhabe2 zu gewährleisten. Obwohl bereits viel für die Entwicklung integrativer Bildungsangebote getan wird, beschäftigt sich die Berufs- und Hochschulforschung nur sporadisch mit dem Thema Behinderung und dem Ausschluss von Menschen mit Behinderungen als Lernende oder Lehrende (Corby et al., 2012; Klein & Schindler, 2016).  Hierbei ist für die Schweiz insbesondere die Studie von Kobi & Pärli (2010) relevant, die zeigt, wie zahlreiche Hindernisse die gleichberechtigte Teilhabe von Studierenden mit Behinderungen an der Hochschulbildung erschweren. Hindernisse im Bereich der digitalen Technologien wurden in der Studie allerdings – mit Ausnahme von Websites – nicht gesondert behandelt.

Digitale Elemente werden zunehmend in die Konzepte der Berufsbildung und damit einhergehend in den Berufsbildungsalltag integriert: So entwickeln Bildungseinrichtungen digitale Angebote als Ergänzung zu ihren Präsenzkursen, um auf die Bedürfnisse der Teilnehmenden einzugehen und neue Zielgruppen zu erschliessen (Rohs, 2016; Weber, 2018). Seale et al. (2010) beobachten eine Tendenz, «digitale Inklusion in der Hochschulbildung [...] ausschließlich unter dem Aspekt der Zugänglichkeit» zu betrachten. Papadopoulos (2012) kommt entsprechend zum Schluss, dass für eine umfassende Teilhabe an (Weiter-)Bildungsangeboten technische und organisatorische Voraussetzungen gegeben sein müssen. Damit besteht die Notwendigkeit, digitale Teilhabe in Berufs- und Weiterbildungsorganisationen mit einem Konzept zu analysieren, das verschiedene organisationale Dimensionen mitberücksichtigt.

Ein solches Konzept wurde von Booth und Ainscow (2010) mit dem Index für Inklusion vorgelegt, welcher die organisationalen Dimensionen der Kulturen, Strukturen und Praxen unterscheidet. Die Dimension der Kulturen umfasst dabei insbesondere inklusive Einstellungen und Werte der Mitarbeitenden einer Bildungsorganisation. Zu den inklusiven Strukturen gehören bspw. Unterstützungsangebote für Lehrkräfte und LmB, Konzepte und Strategien für die Inklusion sowie Massnahmen zur Gewährleistung der Barrierefreiheit. Zur Dimension der Praxen zählt etwa die aktive Einbeziehung von Lernenden in den Bildungsprozess, die Ermöglichung von kooperativem Lernen, die Entwicklung sowie die gemeinsame Nutzung inklusiver materieller Ressourcen. Im bestehenden Inklusionsindex werden die Themen Digitalisierung und digitale Teilhabe bislang jedoch noch kaum berücksichtigt.

2. Methodisches Vorgehen

2.1 Ausgangspunkt und Fragebogenentwicklung

Die hier vorgestellten Ergebnisse wurden im Rahmen des derzeit laufenden NFP77-Projekts «Digitale Teilhabe von Menschen mit Behinderungen in der beruflichen Bildung» erhoben. Von Juni bis Oktober 2022 wurde eine dreisprachige Online-Befragung bei Organisationen der Berufs- und Weiterbildung in der Schweiz durchgeführt. Dazu gehören Organisationen der Sekundarstufe II (Organisationen der ordentlichen und der beruflichen Grundbildung) und der Tertiärstufe (Höhere Fachschulen, Fachhochschulen und Pädagogische Hochschulen) sowie Weiterbildungsorganisationen. Da es derzeit keine vergleichbaren Instrumente zur Erhebung des Status quo der digitalen Teilhabe im Kontext der beruflichen (Weiter-)Bildung gibt, wurde ein Instrument für diesen Zweck entwickelt. Bei der Entwicklung des Fragebogens haben wir auf den Index für Inklusion zurückgegriffen, der von Booth und Ainscow (2000) entwickelt wurde, um Schulen bei der Ausgestaltung von Inklusion in ihrer Organisation zu unterstützen. Der Index wurde von den Autoren in Kooperation mit Expert:innen, Lehrer:innen und Schulleiter:innen entwickelt. Mit der Adaption von Booths und Ainscows Dimensionierung von Inklusion in Kulturen, Strukturen und Praxen strebten wir danach, den Status quo digitaler Teilhabe von Lernenden mit Behinderungen im Kontext der beruflichen Aus- und Weiterbildung möglichst ganzheitlich zu erfassen. Da der Index für Inklusion keine Aspekte digitaler Technologien mitberücksichtigt, wurden aufgrund einer umfassenden Literaturrecherche und in Anlehnung an Erkenntnisse aus dem ersten, qualitativen Teil der Studie (vgl. Ackermann et al., 2022; Kaiser et al., 2023) Items zu digitalen Aspekten entwickelt, die für die Teilhabe von Menschen mit Behinderungen relevant sind.

2.2 Datenerhebung und Stichprobenbeschreibung

Im Rahmen der Erhebung wurden von 431 Mitarbeitenden aus 289 Organisationen umfangreiche Einschätzungen zu den Themen Digitalisierung, digitale Teilhabe von Menschen mit Behinderungen und digitale Zugänglichkeit erhoben. Bezogen auf die Grundgesamtheit liegt die Rücklaufquote bei rund 23 %. Reguläre Berufsbildungseinrichtungen sind in der Stichprobe am häufigsten vertreten, sie machen etwas mehr als ein Drittel aus. Gesonderte Berufsbildungseinrichtungen für Menschen mit Behinderungen machen ein Viertel der Stichprobe aus. Auf Fachhochschulen entfallen 17 % und auf Höhere Fachschulen 13 % der Stichprobe. Während Weiterbildungseinrichtungen 7 % der Stichprobe ausmachen, bilden Pädagogische Hochschulen mit 3 % den kleinsten Teil der Stichprobe.

Etwas mehr als die Hälfte der befragten Mitarbeitenden ist als (stellvertretende:r) Organisationsleiter:in tätig. Rund ein Drittel der Mitarbeitenden hat eine Lehrtätigkeit und/oder ist für die Koordination der Ausbildung zuständig. Mitarbeitende, die im Bereich der Weiterbildungskoordination arbeiten, machen 14% der Stichprobe aus. Etwa jede:r zehnte befragte Mitarbeitende:r ist für eine Position im Bereich digitales Lernen/E-Learning, Diversität und/oder behindertenspezifische Belange zuständig. Jede:r zwanzigste Mitarbeitende ist im Bereich IT tätig.

3. Ergebnisse

3.1 Strukturen digitaler Teilhabe

Im Folgenden werden die Ergebnisse zu digitaler Teilhabe dargestellt, die in der Dimension Strukturen verortet sind. Der Bildungsalltag der Mehrheit der befragten Bildungseinrichtungen ist bereits weitgehend digitalisiert. Dies spiegelt sich auch in den Formen der Nutzung digitaler Technologien im Unterricht wider. Nur etwa jede zehnte befragte Organisation bietet (noch) überwiegend traditionellen, eher technologiefreien Frontalunterricht an. Den Befragten wurden verschiedene Aussagen zur Bewertung vorgelegt, die Rückschlüsse auf die digitale Zugänglichkeit ihrer Bildungsangebote zulassen (vgl. Abb. 1).

Abbildung 1 verdeutlicht, dass nur in einem kleinen Teil der Organisationen Filme durchgängig untertitelt, die in Lernmaterialien vorhandenen visuellen Informationen durchgängig mit Alternativtext versehen oder Kursaufzeichnungen den Lernenden zur Verfügung gestellt werden. Darüber hinaus wollten wir herausfinden, wie die Organisationen den barrierefreien Zugang zu Lerninhalten sicherstellen. Während 16 % der befragten Organisationen kaum Massnahmen ergreifen, um einen barrierefreien Zugang zu Lerninhalten zu gewährleisten, bemüht sich jede fünfte der befragten Organisationen um ein universelles Design und versucht nach Angaben der Fachleute, alle Lerninhalte für die Lernenden barrierefrei zugänglich zu machen. Die Mehrheit der befragten Organisationen (64 %) sorgt jedoch nur bei Bedarf für einen barrierefreien Zugang zu Lerninhalten, der in acht von zehn Organisationen in der Verantwortung der Lehrkräfte liegt.

Vor diesem Hintergrund wollten wir von den Befragten wissen, ob die Erstellung von barrierefreien Lerninhalten mit einem Zusatzaufwand für die Lehrkräfte verbunden ist. 97 % der befragten Organisationen betonen, dass die Erstellung barrierefreier Lerninhalte für die Lehrkräfte einen Zusatzaufwand darstellt. Darüber hinaus wird von rund drei Viertel der Befragten konstatiert, dass das Thema Barrierefreiheit Lehrkräfte herausfordert.

Uns hat auch interessiert, ob die befragten Organisationen Konzepte für die verschiedenen Themen, die relevant für digitale Teilhabe sind, haben. Während die Mehrheit der befragten Organisationen (etwas mehr als zwei Drittel) über konzeptionelle Dokumente zum Thema Digitalisierung verfügt, sind solche zu den Themen Inklusion (49 %), Bildung oder Ausbildung für Menschen mit Behinderungen (40 %) und Barrierefreiheit (39 %) in den befragten Organisationen deutlich weniger verbreitet. Auffallend ist, dass behinderungsspezifische Belange (z.B. digitale Zugänglichkeit) in konzeptionellen Dokumenten zum Thema Digitalisierung nur in etwa jeder dritten befragten Organisation angesprochen werden.

Betrachtet man die Themen, zu denen die befragten Organisationen in den letzten drei Jahren Schulungen für Mitarbeitende angeboten haben, zeigt sich, dass die Nutzung digitaler Medien mit Abstand am häufigsten in Schulungen thematisiert wurde (90 %). Während rund zwei Fünftel der Organisationen Schulungen zu den Themen Nachteilsausgleich und Vielfalt im Bildungskontext anboten, waren die Themen Bildung und Ausbildung für Menschen mit Behinderungen und digitale Barrierefreiheit (z.B. Gestaltung barrierefreier Dokumente) in etwas weniger als einem Drittel der Organisationen Gegenstand von Schulungen.

Wir haben die Befragten auch gefragt, ob ihre Organisationen Ansprechpartner:innen oder Kontaktstellen für behinderungsspezifische Belange und dezidiert für Fragen im Zusammenhang mit der digitalen Zugänglichkeit haben. Die Mehrheit der befragten Organisationen (etwa drei Viertel) hat eine definierte Anlaufstelle oder Kontaktperson für behinderungsspezifische Belange. Für Fragen im Zusammenhang mit der digitalen Zugänglichkeit gibt es solche Ansprechpartner:innen oder Kontaktstellen in etwas weniger als der Hälfte der Organisationen.

3.2 Praxen digitaler Teilhabe

In diesem Abschnitt werden die Ergebnisse zur digitalen Teilhabe vorgestellt, die auf die Dimension Praxen zurückzuführen sind. Zunächst interessierte, wie die Leitung der Organisation mit inklusionsbezogenen Anliegen umgeht. Die Beurteilungen der Mitarbeitenden sind hierzu insgesamt als deutlich positiv einzuschätzen (vgl. Abb. 2). Es gilt allerdings zu berücksichtigen, dass etwa die Hälfte der Befragten Organisationsleitende sind und Mitarbeitende ohne Leitungsfunktion diese Frage deutlich kritischer beurteilen als Befragte in Funktion der Organisationsleitung.

Knapp positiv fällt die Beurteilung der Befragten auch zur Frage aus, ob die Lehrkräfte über das notwendige Wissen zur Umsetzung inklusiven Unterrichts verfügen. Für fast die Hälfte der Organisationen trifft dies allerdings eher nicht oder gar nicht zu. Die Angaben zur Frage, ob die Lehrkräfte in ihrer Organisation Bildungsangebote so gestalten können, dass Menschen mit Behinderungen problemlos daran teilnehmen können, fallen deutlich kritischer aus – eine Mehrheit der Organisationen ist der Meinung, dass dies nicht der Fall ist. Darüber hinaus wurden die Mitarbeitenden gefragt, wie häufig die Umsetzung der UN-BRK angesprochen wird. Nur in weniger als einem Fünftel der befragten Organisationen wird dies regelmässig besprochen.

Ausserdem wollten wir von den Befragten wissen, ob ihre Organisation den Lehrkräften Informationsmaterial für die Erstellung und Gestaltung barrierefreier Lerninhalte zur Verfügung stellt. Solche Informationsmaterialien werden den Lehrkräften in 44 % der befragten Organisationen zur Verfügung gestellt. Interessant ist, dass etwa ein Viertel der Befragten – obwohl sie sich alle manchmal oder oft mit Barrierefreiheit befassen – nicht einschätzen konnten, ob solche Informationsmaterialien in ihrer Organisation verfügbar sind.

3.3 Kulturen digitaler Teilhabe

Im Rahmen der Dimension Kulturen haben wir zunächst die Einschätzungen der Befragten zur allgemeinen Haltung der Mitarbeitenden gegenüber der Inklusion von Menschen mit Behinderungen erfasst (vgl. Abb. 3). Wir wollten von den Befragten wissen, welchen Stellenwert die Inklusion von Menschen mit Behinderungen in ihrer Organisation hat. Eine grosse Mehrheit ist hier der Meinung, dass die Inklusion von Menschen mit Behinderungen eine hohe Priorität in ihrer Organisation hat. Hierin sind sich Mitarbeitende mit und ohne Organisationsleitungsfunktion weitgehend einig. Deutlich weniger Zustimmung erhält die Aussage, dass das Thema digitale Zugänglichkeit/Barrierefreiheit einen hohen Stellenwert in der Organisation einnimmt: In knapp über der Hälfte der Organisationen wird dies verneint. In nur wenigen Organisationen sind die Befragten der Meinung, dass die Mitarbeitenden der Inklusion von LmB kritisch gegenüberstehen. Damit zeigt sich, dass im Grundsatz eine Offenheit in den Organisationen gegenüber der Inklusion von LmB besteht, deutlich weniger aber Fragen wie die digitale Zugänglichkeit und Barrierefreiheit im Fokus stehen.

3.4 Verortung der Organisationen in den Dimensionen digitaler Teilhabe

Da bisher keine validen Instrumente zur Frage der Realisierung von digitaler Teilhabe in Organisationen der beruflichen Aus- und Weiterbildung bestehen, handelt es sich bei der im Folgenden dargestellten Analyse um einen explorativen Versuch, das Potenzial zu ergründen, den Index für Inklusion für die Untersuchung der Realisierung von digitaler Teilhabe in Organisationen der beruflichen Aus- und Weiterbildung nutzbar zu machen. Dabei wurde wie folgt vorgegangen: In einem ersten Schritt wurden nichtlineare Hauptkomponentenanalysen (CATPCA) vorgenommen, um geeignete Items für die Beschreibung der Dimensionen Strukturen, Praxen und Kulturen von digitaler Teilhabe zu identifizieren. CATPCA eignet sich gut, um Faktoren in Daten zu identifizieren, die ordinale und nominale Variablen enthalten (Linting & van der Kooij, 2012). Im zweiten Schritt wurde mit CATPCA getestet, ob die drei Dimensionen Strukturen, Praxen und Kulturen sich auf eine Dimension reduzieren lassen, die theoretisch als digitale Teilhabe verstanden werden kann. In einem dritten Schritt wurden mit den Faktoren der Strukturen, Praxen und Kulturen weitere Analysen vorgenommen, u.a. eine Clusteranalyse.

Nichtlineare Hauptkomponentenanalyse zu den Dimensionen des Index für Inklusion

Abbildung 4 zeigt das Vorgehen und die statistischen Kennwerte für die CATPCA zu den Dimensionen des Index für Inklusion in der Operationalisierung für die digitale Teilhabe in Organisationen der beruflichen Aus- und Weiterbildung. Aufgrund der Tatsache, dass fast alle einbezogenen Items nur von einem Teil der Befragten (die über das Wissen dazu in der Organisation verfügen) beantwortet wurden, reduziert sich die Stichprobe für die folgenden Analyseschritte auf n = 45. Dies schränkt die Möglichkeiten der weiteren Desaggregierung der Stichprobe ein. Die Analyse erzielte mittlere bis gute Resultate. Dies bedeutet, dass erhobene Einschätzungen zu strukturellen, praxisbezogenen und kulturellen Aspekten digitaler Teilhabe die realisierte digitale Teilhabe einer Organisation recht gut abbilden.

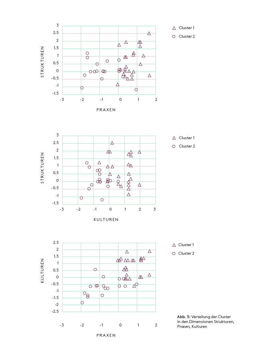
Im Folgenden wurden die Organisationen aufgrund ihrer Ausprägungen in den Dimensionen durch eine K-Means-Clusteranalyse klassifiziert. Diese identifizierte zwei Gruppen. Bei näherer Betrachtung lassen sich diese zwei Gruppen bezüglich der digitalen Teilhabe als hoch (n = 27) und wenig hoch (n = 18) entwickelte Organisationen beschreiben. Hoch entwickelte sind Organisationen, die sich insbesondere in den Dimensionen Praxen und Kulturen, weniger deutlich auch in der Dimension der Strukturen von den weniger hoch entwickelten Organisationen abheben. Auffällig ist, dass die beiden Gruppen sich bezüglich der Ausprägungen in den Dimensionen Praxen und Kulturen deutlich unterscheiden, weniger deutlich aber bezüglich der Dimension der Strukturen. Dies lässt sich so interpretieren, dass die Strukturen digitaler Teilhabe (bspw. Untertitel, Weiterbildung, Konzepte) in den Organisationen ähnlich entwickelt sind, aber deutlichere Unterschiede in der Praxis und Kultur digitaler Teilhabe bestehen. Abbildung 5 zeigt Streudiagramme der Gruppenzuordnungen nach den Dimensionen im Überblick.

Es wäre interessant, die Zugehörigkeit zu den Clustern nach Art der Organisation zu betrachten. Es zeigt sich allerdings, dass die Desegregation auf die Organisationstypen zu sehr geringen Fallzahlen führt, die nicht mehr inferenzstatistisch verarbeitet werden können. Aus diesem Grund werden an dieser Stelle keine Vergleiche nach Organisationstypen vorgestellt.

4. Diskussion

Digitale Technologien verändern die Berufs- und Weiterbildungsorganisationen, ihre Infrastrukturen, Unterrichtsformen und die Unterstützungsleistungen für die Lernenden tiefgreifend. Obwohl digitale Technologien das Potenzial haben, die Zugänglichkeit zu Bildungsinhalten und Unterstützungsleistungen zu erleichtern, verbessert die Implementierung digitaler Technologien nicht automatisch die Zugänglichkeit. Die Ergebnisse des quantitativen Teils des NFP77-Projekts «Digitale Teilhabe von Menschen mit Behinderungen in der beruflichen Bildung» machen deutlich, dass die digitale Zugänglichkeit und im weiteren Sinne die digitale Teilhabe von Lernenden mit Behinderungen in einem Teil der Berufs- und Weiterbildungsorganisationen der Schweiz noch wenig entwickelt ist. Obwohl die befragten Organisationen dem Thema Digitalisierung eine hohe Bedeutung beimessen und digitale Infrastruktur für Kommunikations- und Informationsprozesse weitgehend vorhanden sind, zeigen sich zwischen den Organisationen deutliche Unterschiede in der Ausgestaltung digitaler Teilhabe in den Dimensionen der Strukturen, Praxen und Kulturen. Daran anknüpfend stellt sich die grundsätzliche Frage, ob Menschen mit Behinderungen in Berufs- und Weiterbildungsorganisationen der Schweiz dadurch zusätzliche Nachteile erfahren.

In Bezug auf die strukturelle Dimension fällt auf, dass digitale Technologien, die die Teilhabe von Menschen mit Behinderungen gezielt verbessern würden (z.B. Induktionsschleifen, Untertitel), in den Berufs- und Weiterbildungsinstitutionen oft nicht vorhanden sind. Zudem bemühen sich nur wenige Organisationen um eine umfassende Gestaltung der Lehrinhalte nach den Prinzipien des Universal Design – eine barrierefreie Aufbereitung der Lehrinhalte wird meist nur auf Anfrage angeboten. Dabei sind die meisten Befragten der Meinung, dass die Bereitstellung von barrierefreien Lehrinhalten einen hohen Aufwand für die Lehrpersonen bedeutet. Dieser Befund ist besorgniserregend, da er darauf hinweist, dass die Verantwortung für die digitale Zugänglichkeit in der Regel bei den Lehrkräften liegt, für die diese Dienstleistung einen zusätzlichen – zumeist nicht organisational getragenen – Aufwand bedeutet.

Konzepte sind eine wichtige Grundlage für kulturelle Entwicklung und professionelles Handeln in Bildungsorganisationen (Bell & Stevenson, 2006). Angesichts der berichteten Ergebnisse ist es nicht verwunderlich, dass Konzepte zur digitalen Zugänglichkeit nur in einem Teil der Organisationen zu finden sind. Auch wenn die Befragten die Themen Inklusion und digitale Zugänglichkeit als sehr wichtig für die Organisationen einschätzen, spiegelt sich dies auffallend wenig in den Infrastrukturen und Konzepten der Organisationen wider. Dementsprechend schätzen die befragten Organisationen auch die Unterrichtspraxen als eher wenig inklusiv und das Wissen der Lehrkräfte über barrierefreien Unterricht als gering ein.

Insgesamt legen die in diesem Beitrag dargelegten Ergebnisse nahe, dass, wenn die Inklusion von Menschen mit Behinderungen in Berufs- und Weiterbildungsorganisationen nachhaltig gestärkt und ihrer Ausgrenzung entgegengewirkt werden soll, sowohl digitale Potenziale als auch digitale Barrieren für Lernen und Teilhabe identifiziert und angegangen werden sollten – und zwar in allen von Booth und Ainscow (2000) genannten Dimensionen. Aufgrund der in der Schweiz in den Berufs- und Weiterbildungsorganisationen grundsätzlich in weiten Teilen gut ausgebauten digitalen Infrastruktur bieten sich hier wenig ressourcenintensiv zu nutzende Potenziale. Investitionen erscheinen insbesondere im Bereich der organisationalen Praxen, d.h. bspw. der Kompetenzentwicklung von Lehrkräften, sowie der Organisationskultur im Sinne einer Haltungsentwicklung zielführend.

  1. Unter digitalen Technologien werden im Folgenden alle elektronischen Systeme verstanden, die auf der Basis von Binärcode arbeiten. Dazu gehören z.B. Internettechnologien, digitale Endgeräte, vernetzte Objekte, Roboter und Softwareanwendungen.
  2. Wir verwenden im Folgenden die Begriffe der E-Inklusion und digitale Teilhabe synonym.

Literatur

Ackermann, S., Bannwart, J., Parpan-Blaser, A., & Steiner, O. (2022): Digitale Teilhabe von Menschen mit Behinderungen. Erfahrungen aus der Weiterbildung. Schweizerische Zeitschrift für  Heilpädagogik, 28(1), 15–22.

Bell, L., & Stevenson, H. (2006): Education policy: process, themes and impact. London ; New York. Routledge.

Booth, T., & Ainscow, M. (2000): Index for Inclusion: developing learning and participation in schools. Centre for Studies on Inclusive Education (CSIE). http://www.csie.org.uk/resources/inclusion-index-explained.shtml

Bundesministerium für Arbeit und Soziales (2016): BMAS – Forschungsbericht: Chancen und Risiken der Digitalisierung der Arbeitswelt für die Beschäftigung von Menschen mit Behinderung (Forschungsbericht Nr. 467). Berlin. https://www.bmas.de/SharedDocs/Downloads/DE/PDF-Publikationen/Forschungsberichte/fb-467-digitalisierung-behinderung.html

Corby, D., Cousins, W., & Slevin, E. (2012): Inclusion of adults with intellectual disabilities in post-secondary and higher education: A review of the literature. In: P. Jones, J. Storan, A. Hudson & J. Braham (Hrsg.), Lifelong Learning: Community Development (S. 69–86). Berforts Information Press.

Hümbelin, O., von Bergen, M., & Luchsinger, L. (2019): Technologischer Wandel: Chancen und Risiken für Menschen mit Behinderungen. impuls, 3, 32–34.

Kaiser, F., Parpan-Blaser, A., & Bannwart Garibovic, J. (2023): Digitale Teilhabe von Lernenden mit Beeinträchtigungen in der Berufsbildung – Potenziale nutzen und Barrieren abbauen. Berufsbildung, 77, 51–53. https://doi.org/10.3278/BB2302W015

Klein, U., & Schindler, C. (2016): Inklusion und Hochschule: Eine Einführung. In: U. Klein (Hrsg.), Inklusive Hochschule: Neue Perspektiven für Praxis und Forschung (S. 7–18). Weinheim/Basel. Beltz Juventa. https://doi.org/10.1007/s35834-018-0221-z

Kobi, S., & Pärli, K. (2010): Bestandesaufnahme hindernisfreie Hochschule : Schlussbericht. Winterthur. ZHAW Zürcher Hochschule für Angewandte Wissenschaften. https://doi.org/10.21256/zhaw-1787

Linting, M., & van der Kooij, A. (2012): Nonlinear Principal Components Analysis With CATPCA: A Tutorial. Journal of Personality Assessment, 94(1), 12–25. https://doi.org/10.1080/00223891.2011.627965

Papadopoulos, C. (2012): Barrierefreiheit als didaktische Herausforderung. DIE Zeitschrift für Erwachsenenbildung, 2, 37–39. https://doi.org/10.3278/DIE1202W037

Rohs, M. (2016): Diversität und Lernen mit digitalen Medien in der Erwachsenenbildung. In: K. Dollhausen & S. Muders (Hrsg.), Diversität und lebenslanges Lernen. Aufgaben für die organisierte Weiterbildung. (Bd. 26, S. 191–206). Bertelsmann.

Seale, J., Draffan, E. A., & Wald, M. (2010): Digital agility and digital decision‐making: conceptualising digital inclusion in the context of disabled learners in higher education. Studies in Higher Education, 35(4), 445–461. https://doi.org/10.1080/03075070903131628

Weber, H. (2018): Increasing Inclusive Capacity of Vocational Education and Training (VET) Organizations with Digital Media and ICT. In: K. Miesenberger & G. Kouroupetroglou (Hrsg.), Computers Helping People with Special Needs (S. 345–352). Cham. Springer International Publishing. https://doi.org/10.1007/978-3-319-94277-3_54